Exercicis d'aplicació de la integral definida

1-Tenim un globus a 4000 metres d'alçada que està pujant amb una velocitat constant de 50 metres/segon. Deixem anar una pilota, sense llençar-la. Si suposem que no hi ha aire, ho sigui la pilota no rep cap mena de fregament es demana: 1-Quina és l'alçària màxima que assolirà. 2-En quin instant tocarà el terra. 3-Amb quina velocitat impactarà amb el terra



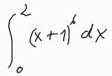
2-Calcula la següent integral definida:



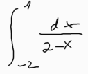
3-Calcula la següent integral definida:



4-Calcula la següent integral definida:



5-Calcula la següent integral definida:



6-Calcula l'àrea entre f(x) = cos(x), l'eix d'abscisses i les rectes vertical x = 0 i x = pi.



7-Calcula l'àrea entre f(x) = (x - 1)·(x2 - x - 6) i l'eix d'abscisses.



8-Calcula l'àrea entre les funcions f(x) = x2 i la funció g(x) = -x2 + 8.



9-Calcula l'àrea entre la funció f(x) = x3 - 3x i l'eix de les X.



10-Calcula l'àrea de color vermell entre les funcions f(x) = (x-2)2/2 i la funció g(x) = -x2 + 2x.


11-Volum de revolució. Calcula el volum generat al voltar respecte l'eix X la funció sin(x) entre 0 i pi.



12-Calcula l'àrea d'un cercle de radi 1.



13-Calcula l'àrea d'un cercle de radi R.