Exercicis d'aplicació de la integral definida

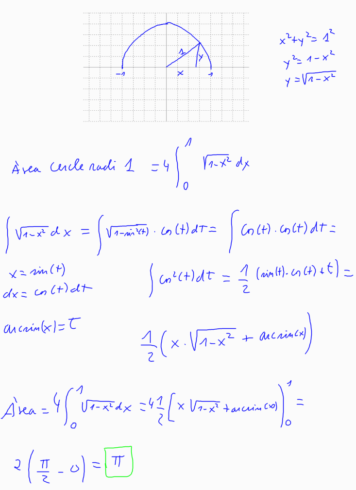
12-Calcula l'àrea d'un cercle de radi 1.




La l'hem calculat aquí.






Per calcular la integral indefinida hem fet el canvi de variable x = sin(x) i al final desfem el canvi arcsin(x) = t per la qual cosa els límits d'integració, 0 i 1 no canvien. Podriem no desfer el canvi i canviar els límits d'integració. La forma de fer-ho és la següent: