Exercicis d'optimització


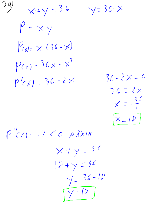
1-Posa 36 com a suma de dos nombres de manera que el seu producte sigui màxim.







2-Calcula quines són les dimensions d'un triangle rectangle d'àrea màxima si sabem que la hipotenusa mesura 9 metres.







Per ilustrar això podem representar la funció Àrea A(x) = x*(81-x^2)^0,5/2 amb el programa funcions i calcular on hi ha el màxim






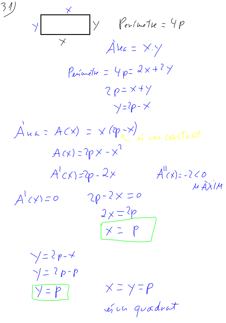
3-Calcula quines són les dimensions el rectangle d'àrea màxima sabent que el seu perímetre val 4p (siguen p una constant).







4-De tots els rectangles inscrits en l'el·lipse 4x^2+y^2=1, trobeu el que té àrea màxima.


Solució