1.Es vol relacionar la quantitat gastada en un producte determinat i els ingressos del comprador. Per fer-ho disposem de la informació referent a 10 individus que es dóna a continuació:
      Indivi. 1 2 3 4 5 6 7 8 9 10
      Ingre. 300 420 450 500 560 610 780 780 800 1300
      Desp. 11,1 12,2 12,5 13 13,4 15,6 15,8 16,0 16,1 20,8

      Calculeu el quoeficient de correlació entre els ingressos i la quantitat gastada (despeses) d'aquests individus i digueu si creieu que la correlació que hi ha entre aquestes dues variables és forta o més aviat feble. Calculeu després la recta de regressió per obtenir la quantitat gastada en funció dels ingressos (expliqueu ben bé què feu i les fórmules que utilitzeu). (4 p)

      1-Quoeficient de correlació : 0.958472

      Com que és un nombre proper a 1 podem dir que hi ha força bona correlació i positiva. Que a méns ingressos més despeses i a menys ingressos menys despeses.

      2-Equació de la recta de regressió Y = 1.276554x -8.959611

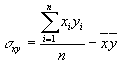
      3-Les fórmules utilitzades són

      Covariància:


      Quoeficient de correlació


      Recta de regressió


      On: