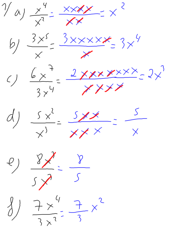
Matemàtiques 4t ESO - Exercicis de polinomis


Divideix els següents monomis: