Recull d'exercicis de selectivitat. Matrius

 

5.       

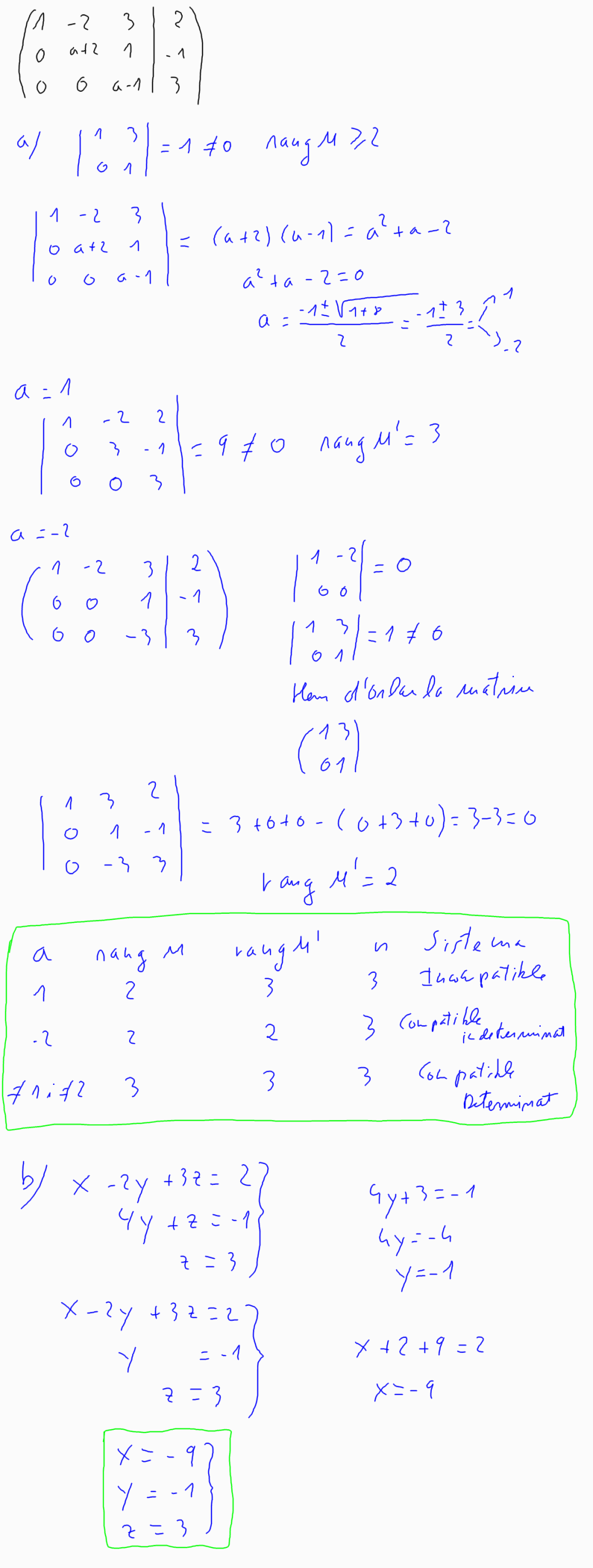
(2010-juny-4) 4. Hem escalonat la matriu ampliada d'un sistema d'equacions lineals,

A ˇ X = b, i hem obtingut:

a) Discutiu aquest sistema en funció del parŕmetre a.

b) Resoleu-lo quan a = 2.

[1,5 punts per l'apartat a; 0,5 punts per l'apartat b]