Recull d'exercicis de selectivitat. Matrius

 

7.       

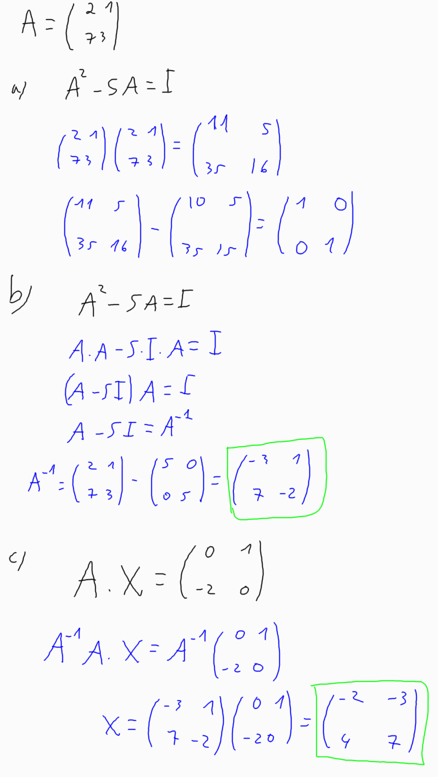
(2010-setembre-2) 4. Considereu la matriu .


a) Comproveu que compleix la igualtat A2 - 5A = I2, on I2 és la matriu identitat

d'ordre 2.

b) Utilitzeu aquesta igualtat per a calcular la matriu inversa de A.

c) Resoleu l'equació matricial , utilitzant la matriu inversa de A.


[0,5 punts per l'apartat a; 0,75 punts per l'apartat b; 0,75 per l'apartat c]