Recull d'exercicis de selectivitat. Integral Definida


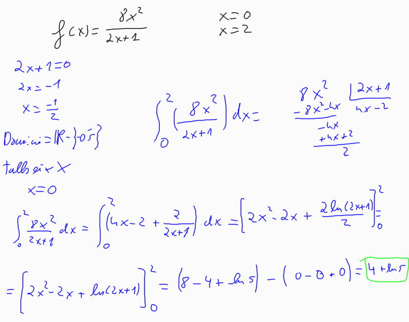
8.       

(2010-setembre-2) 5. Sigui . Trobeu l'ŕrea del recinte limitat per la grŕfica d'aquesta funció, l'eix OX i les rectes x = 0 i x = 2.

[2 punts]