Recull d'exercicis de selectivitat. Integral Definida

4.       

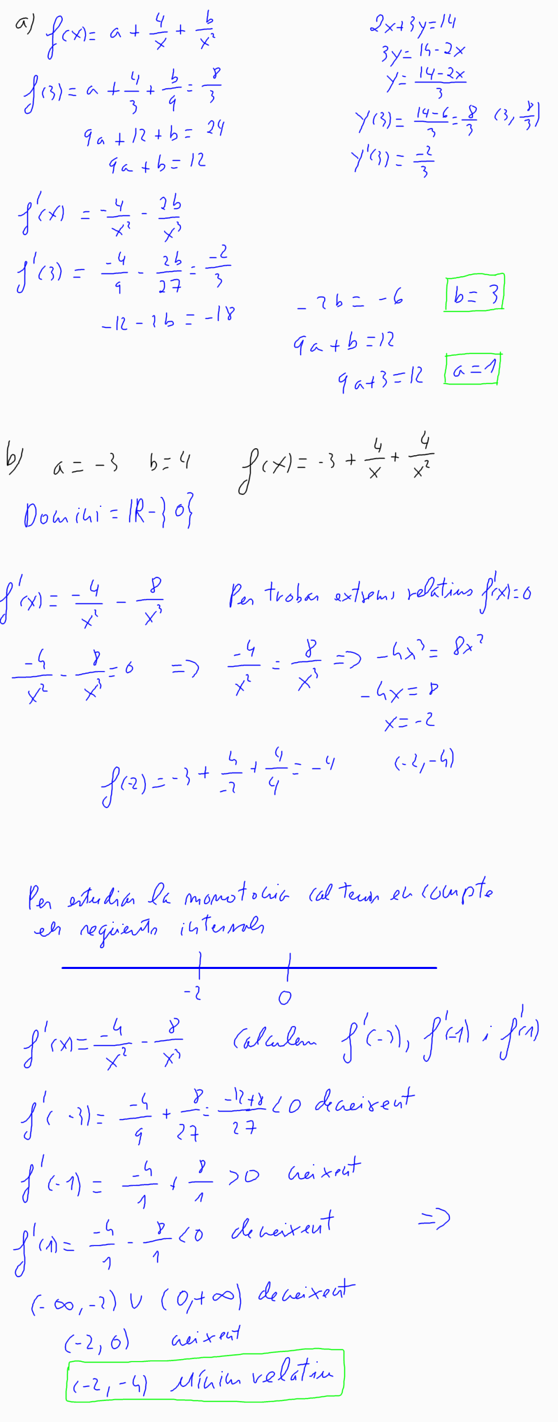
(2009-juny-3) 5. Sigui la funció .


a) Calculeu els valors de a i b, sabent que la recta 2x + 3y = 14 és tangent a la grŕfica

de la funció f (x) en el punt d'abscissa x = 3.

Per a la resta d'apartats, considereu que a = -3 i que b = 4.

b) Trobeu els intervals de creixement i de decreixement de la funció f (x). Trobeu i

classifiqueu els extrems relatius que té la funció.

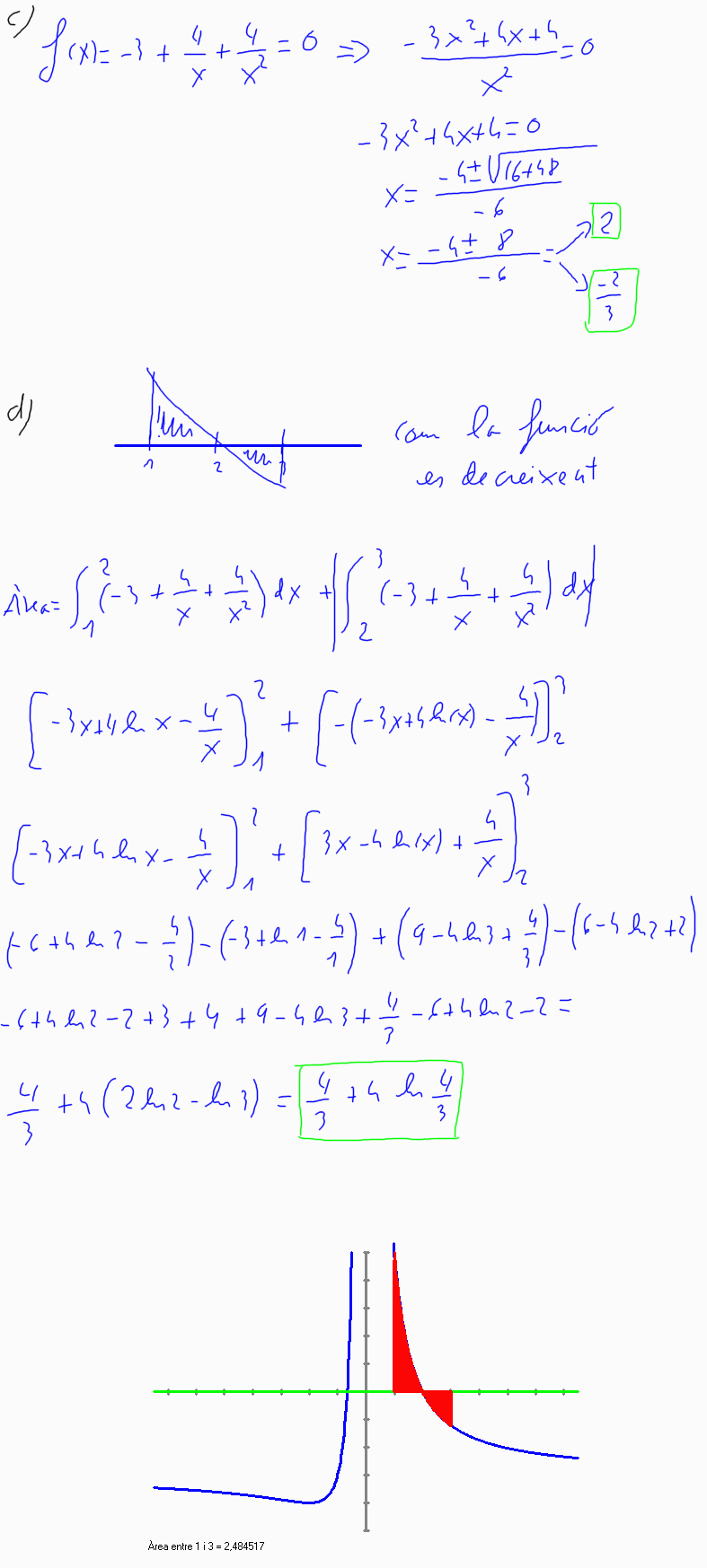
c) Calculeu els punts de tall de la funció f (x) amb l'eix OX.

d) Trobeu l'ŕrea del recinte limitat per la grŕfica de la funció f (x), l'eix OX i les rectes

x = 1 i x = 3.

[1 punt per l'apartat a; 1 punt per l'apartat b; 0,5 punts per l'apartat c; 1,5 punts per l'apartat d ]