Recull d'exercicis de selectivitat. Geometria

 

4.       

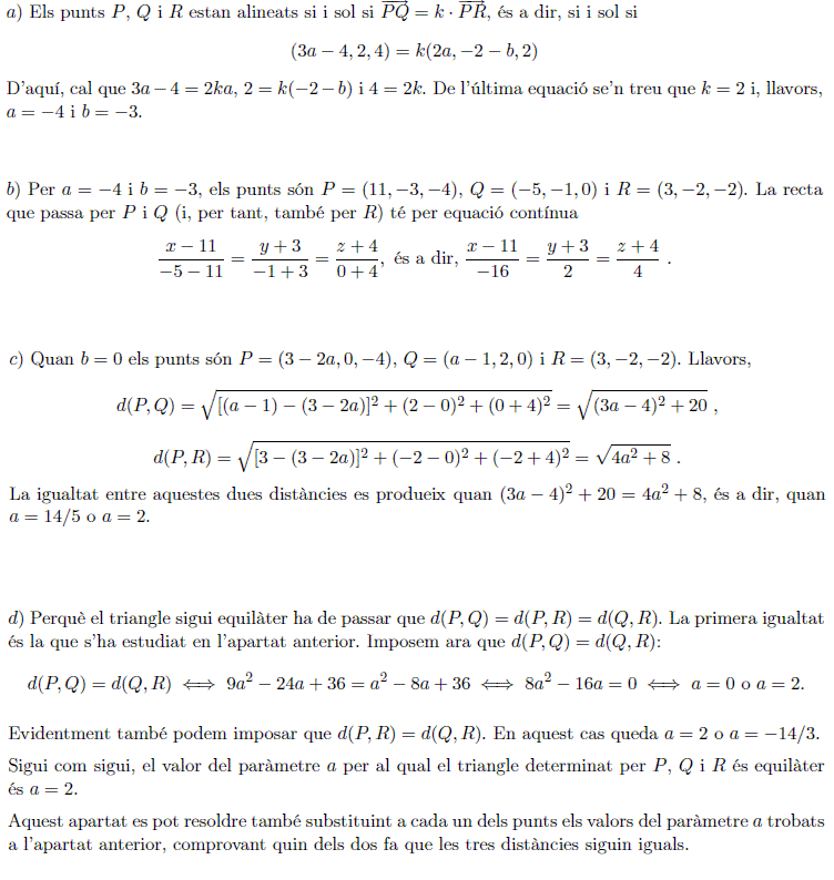
(2009-juny-3) 6. Siguin P = (3 - 2a, b, -4), Q = (a - 1, 2 + b, 0) i R = (3, -2, -2) tres punts de l'espai .

a) Calculeu el valor dels paràmetres a i b per als quals aquests tres punts estiguin

alineats.

b) Trobeu l'equació contínua de la recta que els conté quan estan alineats.

c) Quan b = 0, trobeu els valors del paràmetre a perquè la distància entre els punts

P i Q sigui la mateixa que la distància entre els punts P i R.

d) Si b = 0, calculeu el valor del paràmetre a perquè els punts P, Q i R determinin

un triangle equilàter.

[1 punt per cada apartat]