11.   

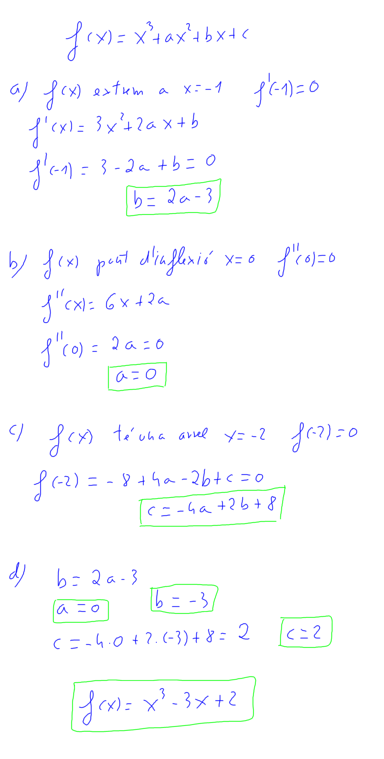
(2011-setembre-2) 3. Donada la funció f (x)=x3+ ax2+ bx+ c:

a) Determineu la relació que han de complir els paràmetres a, b i c perquè f (x) tingui

un extrem relatiu en el punt d'abscissa x = −1.

b) Calculeu el valor del paràmetre a perquè hi hagi un punt d'inflexió de la funció

f (x) en el punt d'abscissa x=0.

c) Determineu la relació entre els paràmetres a, b i c sabent que la gràfica de f (x)

talla l'eix OX en el punt d'abscissa x = −2.

d) Calculeu el valor dels paràmetres a, b i c perquè es compleixin les tres propietats

anteriors alhora.

[0,5 punts per cada apartat]