Més aplicacions del càlcul de funcions derivades

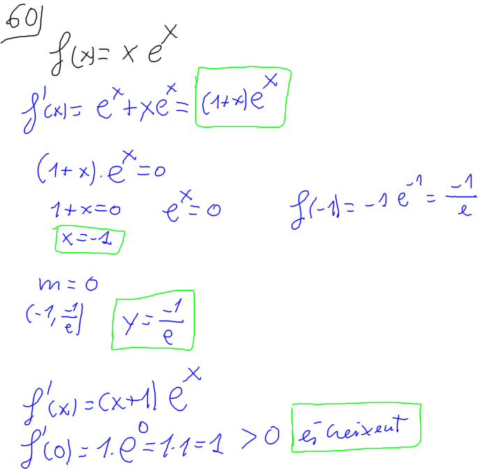
1-Donada la funció f(x) =x·ex, calcula f'(x). Escriu l'equació de la recta tangent a la gràfica de f(x) en el punt on s'anul·la la derivada. Aquesta funció és creixent o decreixent en x = 0? Perquè?







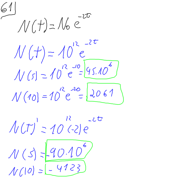
2-Una mostra de material radioactiu conté 1 bilió d'àtoms. Per culpa de la desintegració radioactiva, el nombre d'àtoms de la mostra va disminuint a mesura que pasa el temps t. La funció que descriu aquesta situació és: N(t) = N0· e-2t, on N0 és el nombre inicial d'àtoms que hi ha a la mostra i t, el temps transcorregut en anys. Es demana:
a) Quants àtoms hi haurà al cap de 5 anys? i al cap de 10 anys?
b) Quan és més ràpida la desintegració, als 5 anys o als 10 anys?







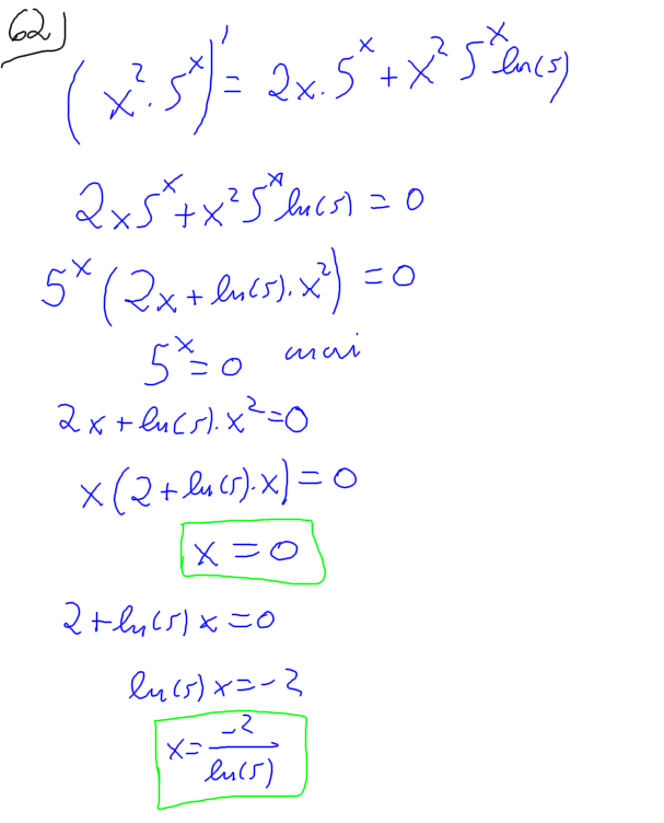
3-En quins punts s'anul·la la derivada de la funció f(x) = x2·5x?