Exercicis de càlcul de la integral indefinida de fraccions racionals
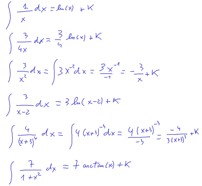
Integrals indefinides de fraccions racionals "immediates":
EXERCICIS:
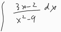
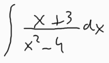
1-
solució
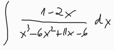
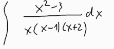
2-
solució
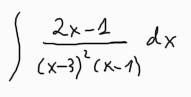
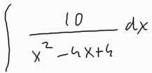
3-
solució
4-
solució
5-
solució
6-
solució
7-
solució
8-
solució
9-
solució
10-
solució
11-
solució