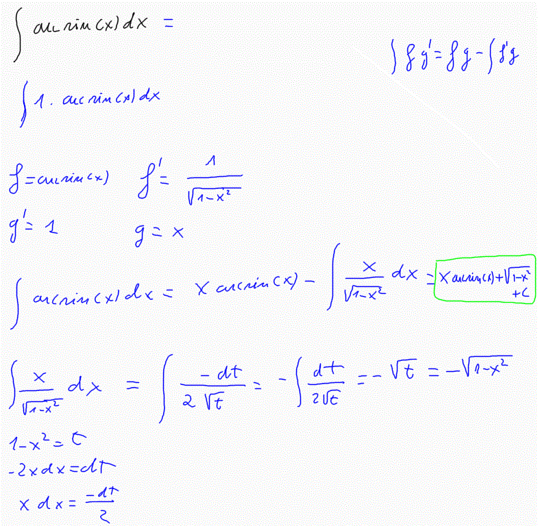
Exercicis de càlcul de la integral indefinida per parts

8-