Exercicis de càlcul de la integral indefinida pel mètode de canvi de variable

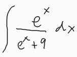
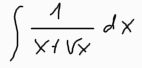
1-

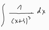
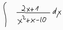
2-

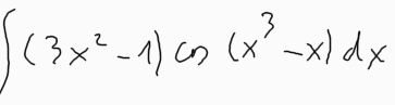
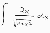
3-

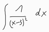
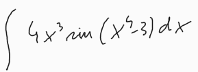
4-

5-

6-

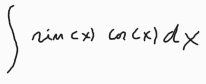
7-Calcula la primitiva de la funció f(x) = sin(x)·cos(x) que passa pel punt (pi/2, 15/2).



8-

9-

10-

11-

12-

13-

14-

15-

16-

17-

18-

19-

20-Calcula les asímptotes verticals de la funció:


Integrals indefinides pel mètode del canvi de variable (substitució), no tant inmediat:

21-

22-

23-

24-

25-

26-

27-

28- Fora de concurs


29-

30-

31-

32-