Exercicis sobre els punts a tenir en compte en la representació de les funcions


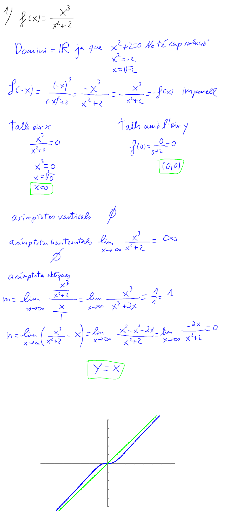
1-Estudia la simetria, els punts de tall i les asímptotes de la funció f(x) = x3/(x2+2)







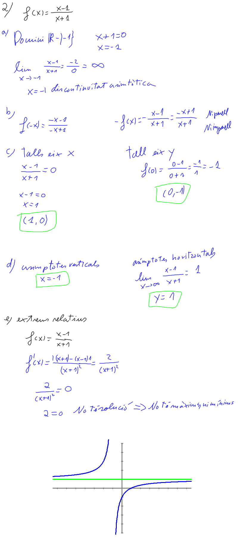
2-A partir de la funció f(x) = (x-1)/(x+1), calcula: el domini, les discontinuïtats i de quin tipus són en cas de que en tingui, els punts de tall amb els eixos i les equacions de les asímptotes en cas de que n'hi hagi. Un cop fet tot això calcula també, si en té, els extrems relatius.