Demostració de la derivada del quocient de funcions





restem els quebrats



Sumem i restem f(x)g(x).



Canviem els denominadors.


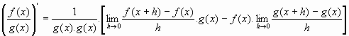
Traiem factors comuns g(x) i f(x). Separem la divisió.



Propietat de límits: Límit del producte = Producte de límits.



Propietat de límits: Límit de la diferència = Diferència de límits.



Propietat de límits: Límit del producte = Producte de límits.


Calculem alguns límits.



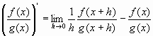
Recordem la definició de derivada.


Ho arreglem.