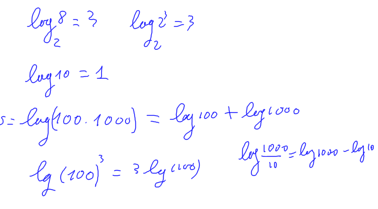
En primer lloc recordem què són i algunes propietats dels logaritmes:





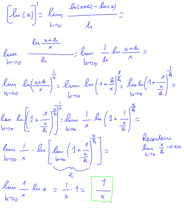
Derivada de la funció: f(x) = ln(x):