Derivabilitat d'una funció en un punt

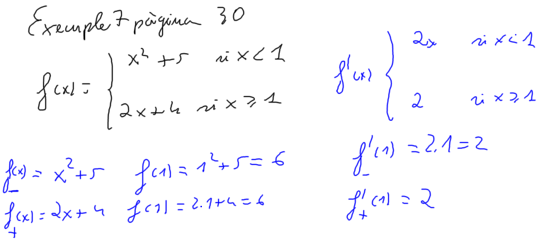
1-És derivable la següent funció en tots els punts?



En principi és continua i derivable en tots els punts del domini. L'únic punt on podem tenir problemes és en la frontera dels trossos. Ho sigui en el punt 1.

Calculem el límit per la dreta i l'esquerra de la funció i veiem que val el mateix 6, per la qual és contínua ja que coincideix amb f(1) = 6.

Calculem la derivada per la dreta i per l'esquerra i veiem que coincideix f'(1)- = f'(1)+ = 2.

Per la qual cosa és continua i derivable en totls els punts del domini que és tot R.