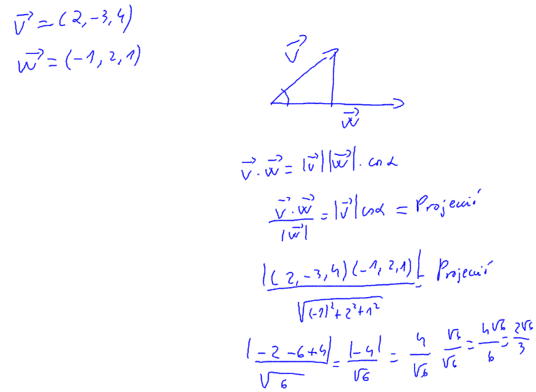
Matemàtiques 2n BAT - Exercicis de vectors

Calcula la projecció ortogonal del vector (2, -3, 4) sobre el vector (-1, 2, 1).