Matemàtiques 2n BAT - Exercicis de vectors

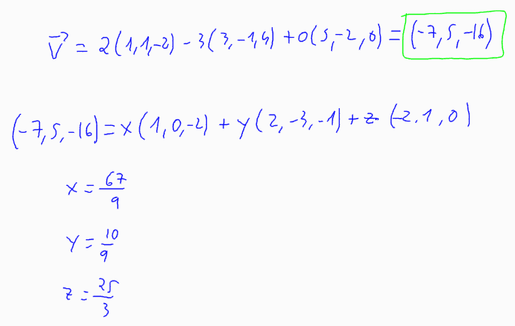
Si en la base B = {(1, 1, -2); (3, -1, 4); (5, -2, 0)} les components d'un vector v valen (2, -3, 0). Calcula les seves components en la base canònica i en la base B' = {(1, 0, -2); (2, -3, -1); (-2, 1, 0)}.