Matemàtiques 2n BAT - Exercicis de vectors
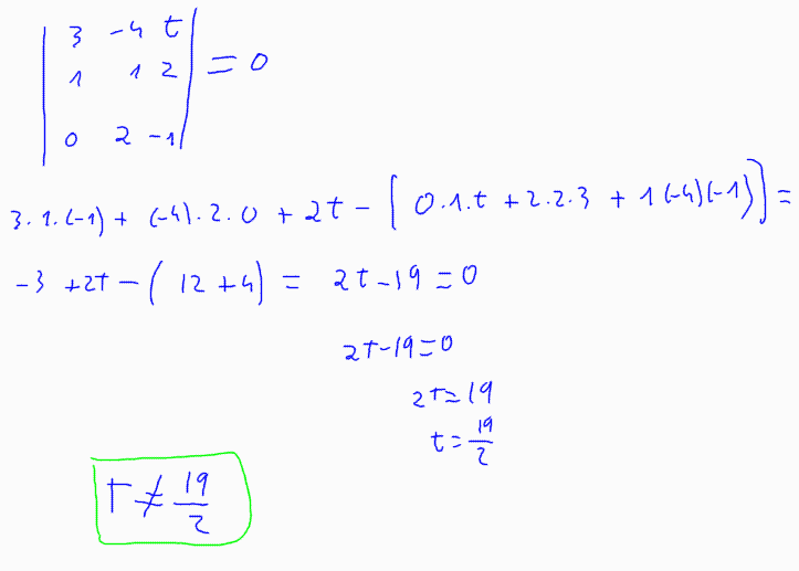
Quins valors de
t
fan que els següents vectors formin una base de
V
3
: (3, -4,
t
); (1, 1, 2); (0, 2, -1).