Matemàtiques 2n BAT - Exercicis de vectors
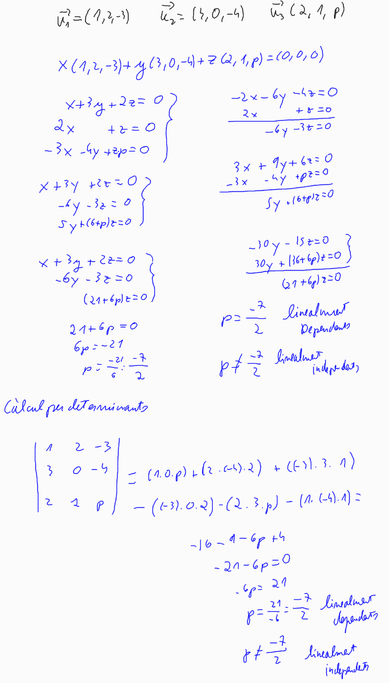
Calcula segons els diferents valors de
p
quan és que els següents vectors són linealment independents o linealment dependents: (1, 2, -3); (3, 0, -4); (2, 1,
p
).