Matemàtiques 2n BAT - Exercicis de vectors
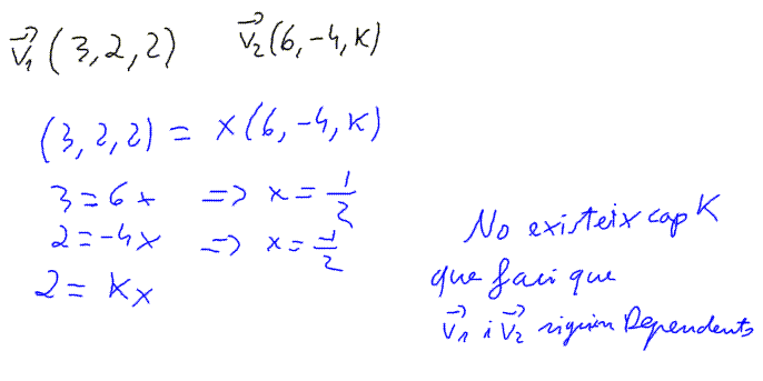
Digues si hi ha algun valor de
k
de manera que els vectors (3, 2, 2) i (6, -4,
k
) siguin linelament dependents.