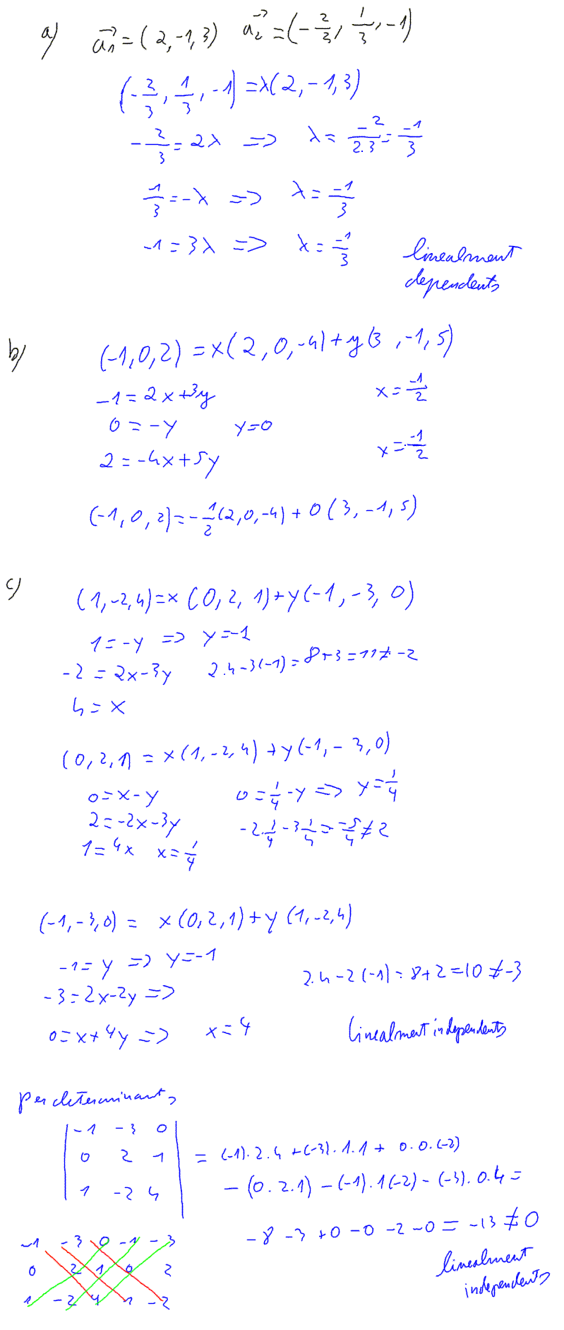
Matemàtiques 2n BAT - Exercicis de vectors

Digues si els següents conjunts de vectors són linelament dependents o independents:
a) (2, -1, 3) i (-2/3, 1/3, -1)
b) (-1, 0, 2); (2, 0, -4); (3, -1, 5)
c) (1, -2, 4); (0, 2, 1); (-1, 3, 0)