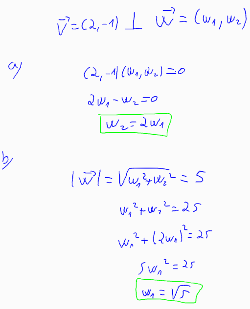
Matemàtiques 2n BAT - Exercicis de vectors
Si els vectors (2, -1) i (
w1
,
w2
) són ortogonals (perpendiculars).
a)Quina relació hi ha entre les components del vector
w
b)Si el mòdul de
w
és 5, calcula les seves components.